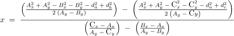
Node module performing trilateration calculations.
github.com/mberberoglu/node-trilateration
mberberoglu/node-trilateration